Структуры данных. Куча
Это краткий дополненный конспект части о кучах в книге Гид по Computer Science, Вильям Спрингер.
Основная информация
Куча - почти полное (почти максимально заполненное, за исключением, возможно, самого нижнего уровня, который заполняется слева направо) двоичное дерево с корнем. Ключ корня больше, чем ключ любого из его дочерних элементов (или же меньше в случае неубывающей кучи. Действительно для любого поддерева).
При каждой операции сортирует себя, чтобы все уровни дерева (кроме последнего) были заполнены.
Куча частично упорядочена по ключам - элемент с наивысшим (или низшим) приоритетом в корне кучи.
Как правило, реализуются на основе массивов. Как и в стеке, в куче можно удалить за один раз только один элемент. Только это не последний добавленный, а наибольший (для max-кучи) или наименьший элемент (для min-кучи).
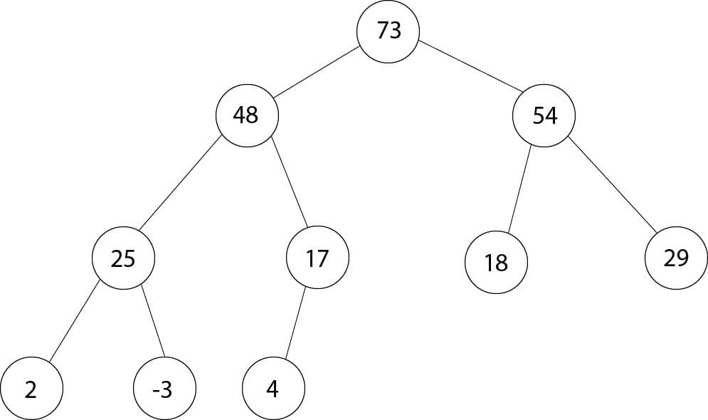
Пример max-кучи:

Узлы-братья (с одним и тем же родителем) с друг-другом не связаны. Они имеют более низкий приоритет чем их родители.
Неубывания (min-куча) - значение каждого узла больше, чем у его родителя.
Поддерживает операции:
- поиска максимального значения (find-max) (peek),
- вставки (insert) (push),
- извлечения максимального значения (extract-max) (pop),
- увеличения ключа (increase-key) (изменения ключа узла с последующим перемещением узла на новое место на графе)
Невозрастания (max-куча) - значение каждого узла меньше, чем у родителя.
Если не указано иное - то мы имеем ввиду двоичную кучу - полное двоичное дерево, которое удовлетворяет свойству упорядоченности кучи.
Для двоичной кучи, после создания кучи из списка элементов за время O(n), каждая из этих операций занимает время O(lg n).
Также есть левосторонние кучи, биномиальные кучи и кучи Фибоначчи.
Используются в тех случаях, когда нужен быстрый доступ к наибольшему (или наименьшему) элементу списка без необходимости сортировки остальной части списка. Используются для реализации очередей с приоритетом: нас интересует не относительный порядок всех элементов, а только то, какой элемент является следующим в очереди, — это всегда текущий корень кучи.
Реализация кучи
Вершины начинают нумероваться с корня. Затем слева направо на каждом уровне.
Корень - вершина 0,
Его левый потомок - вершина 1,
правый потомок - вершина 2,
Самый левый внук корня - вершина 3 и т.д.

В этом примере узлы с 5-го по 9-й являются корнями кучи размером 1. Так, любой элемент в позиции от Math.floor(n/2) до n -1 кучи размером n - корень кучи размером 1.
Для любого узла k номер его родителя - Math.floor((k – 1)/2), дочерние элементы (если они есть) - имеют номера 2k + 1 и 2k + 2.
Чтобы эффективно определить позицию родительского или дочернего узла нужно выполнить умножение посредством сдвига битов; Получим положение нужного узла, если куча реализована на основе массива.
Куча строится рекурсивно. Строятся маленькие кучи и объединяются в большие.
Пример построения кучи взят с этого сайта:
В примере ниже построение min-кучи - наименьший элемент всегда в корне кучи. Чтобы построить max-кучу нужно использовать функцию компаратор constcomparator= (a, b) =>b - a;
Создадим класс Heap и зададим ему вспомогательные методы.
1const comparator = (a, b) => a - b;23class Heap {4 constructor(comparator) {5 this.arr = [];6 this.comparator = comparator;7 }89 isCorrectOrder(first, second) {10 return this.comparator(first, second) < 0;11 }1213 getLeftChildIndex(parentIndex) {14 return 2 * parentIndex + 1;15 }1617 getRightChildIndex(parentIndex) {18 return 2 * parentIndex + 2;19 }2021 getParentIndex(childIndex) {22 return Math.floor((childIndex - 1) / 2);23 }2425 leftChild(parentIndex) {26 return this.arr[this.getLeftChildIndex(parentIndex)];27 }2829 rightChild(parentIndex) {30 return this.arr[this.getRightChildIndex(parentIndex)];31 }3233 parent(childIndex) {34 return this.arr[this.getParentIndex(childIndex)];35 }3637 hasParent(childIndex) {38 return this.getParentIndex(childIndex) >= 0;39 }4041 hasLeftChild(parentIndex) {42 return this.getLeftChildIndex(parentIndex) < this.arr.length;43 }4445 hasRightChild(parentIndex) {46 return this.getRightChildIndex(parentIndex) < this.arr.length;47 }4849 isEmpty() {50 return !this.arr.length;51 }52}
Добавление элемента
Новый элемент попадает в первую пустую ячейку массива. Если новый элемент меньше родительского (для min-кучи), то поднимаем его вверх рекурсивно, меняя местами с родителем, до тех пор пока он не окажется больше или не станет корнем кучи.
Максимальная высота дерева равна O(lg n), каждое сравнение/обмен занимает время O(1). Итого общее время вставки O(lg n).
1const comparator = (a, b) => a - b;23class Heap {4 // ...5 push(item) {6 this.arr.push(item);7 this.heapifyUp();8 return this;9 }1011 heapifyUp(startIndex) {12 let currentIndex = startIndex || this.arr.length - 1;1314 // Пока у элемента есть родитель и пока элемент меньше родителя15 // меняем элемент местами с родителем.16 while (17 this.hasParent(currentIndex) &&18 !this.isCorrectOrder(19 this.parent(currentIndex),20 this.arr[currentIndex]21 )22 ) {23 let parentIndex = this.getParentIndex(currentIndex);24 this.swap(currentIndex, parentIndex);25 currentIndex = parentIndex;26 }27 }2829 swap(indexOne, indexTwo) {30 const tmp = this.arr[indexTwo];31 this.arr[indexTwo] = this.arr[indexOne];32 this.arr[indexOne] = tmp;33 }34}3536const heap = new Heap(comparator);3738heap.push(14);39heap.push(18);40heap.push(4);41heap.push(29);42heap.push(18);43heap.push(44);44heap.push(3);45console.log(heap);46//[3, 18, 4, 29, 18, 44, 14]
Удаление корня из кучи
При удалении корня кучи остается пустое место, которое заменяем последним элементом (с самого низкого уровня кучи), при необходимости оставляя почти полное дерево. Затем поднимаем новый корень вверх, заменяя дочерними узлами с меньшими значениями, пока дерево снова не приобретет свойство кучи.
1class Heap {2 //...3 pop() {4 if (this.arr.length === 0) {5 return null;6 }78 if (this.arr.length === 1) {9 return this.arr.pop();10 }1112 const item = this.arr[0];1314 this.arr[0] = this.arr.pop();15 this.heapifyDown();1617 return item;18 }1920 heapifyDown(customStartIndex = 0) {21 let currentIndex = customStartIndex;22 let nextIndex = null;2324 while (this.hasLeftChild(currentIndex)) {25 if (26 this.hasRightChild(currentIndex) &&27 this.isCorrectOrder(28 this.rightChild(currentIndex),29 this.leftChild(currentIndex)30 )31 ) {32 nextIndex = this.getRightChildIndex(currentIndex);33 } else {34 nextIndex = this.getLeftChildIndex(currentIndex);35 }3637 if (38 this.isCorrectOrder(this.arr[currentIndex], this.arr[nextIndex])39 ) {40 break;41 }4243 this.swap(currentIndex, nextIndex);44 currentIndex = nextIndex;45 }46 }47}4849//[3, 18, 4, 29, 18, 44, 14]50heapArr.pop(3);51// [ 4, 18, 14, 29, 18, 44 ]
Преобразование массива в кучу
Записываем получаемый массив в массив кучи и для каждого элемента вызываем метод heapifyUp.
1class Heap {2 //...3 buildHeap(array) {4 this.arr = array;5 let i = array.length - 1;6 while (i > 1) {7 this.heapifyUp(i)8 i--;9 }10 }11}1213const heap = new Heap(comparator);14const arr = [24, 19, 2, 13, 101, 8];1516heap.buildHeap(arr);17// [ 2, 24, 13, 19, 101, 8 ]
Полный код
1const comparator = (a, b) => a - b;23class Heap {4 constructor(comparator) {5 this.arr = [];6 this.comparator = comparator;7 }89 isCorrectOrder(first, second) {10 return this.comparator(first, second) < 0;11 }1213 getLeftChildIndex(parentIndex) {14 return 2 * parentIndex + 1;15 }1617 getRightChildIndex(parentIndex) {18 return 2 * parentIndex + 2;19 }2021 getParentIndex(childIndex) {22 return Math.floor((childIndex - 1) / 2);23 }2425 leftChild(parentIndex) {26 return this.arr[this.getLeftChildIndex(parentIndex)];27 }2829 rightChild(parentIndex) {30 return this.arr[this.getRightChildIndex(parentIndex)];31 }3233 parent(childIndex) {34 return this.arr[this.getParentIndex(childIndex)];35 }3637 hasParent(childIndex) {38 return this.getParentIndex(childIndex) >= 0;39 }4041 hasLeftChild(parentIndex) {42 return this.getLeftChildIndex(parentIndex) < this.arr.length;43 }4445 hasRightChild(parentIndex) {46 return this.getRightChildIndex(parentIndex) < this.arr.length;47 }4849 isEmpty() {50 return !this.arr.length;51 }5253 buildHeap(array) {54 this.arr = array;55 let i = array.length - 1;56 while (i > 1) {57 this.heapifyUp(i)58 i--;59 }60 }6162 push(item) {63 this.arr.push(item);64 this.heapifyUp();65 return this;66 }6768 heapifyUp(startIndex) {69 let currentIndex = startIndex || this.arr.length - 1;7071 // Пока у элемента есть родитель и пока элемент меньше родителя72 // меняем элемент местами с родителем.73 while (74 this.hasParent(currentIndex) &&75 !this.isCorrectOrder(76 this.parent(currentIndex),77 this.arr[currentIndex]78 )79 ) {80 let parentIndex = this.getParentIndex(currentIndex);81 this.swap(currentIndex, parentIndex);82 currentIndex = parentIndex;83 }84 }8586 swap(indexOne, indexTwo) {87 const tmp = this.arr[indexTwo];88 this.arr[indexTwo] = this.arr[indexOne];89 this.arr[indexOne] = tmp;90 }9192 pop() {93 if (this.arr.length === 0) {94 return null;95 }9697 if (this.arr.length === 1) {98 return this.arr.pop();99 }100101 const item = this.arr[0];102103 this.arr[0] = this.arr.pop();104 this.heapifyDown();105106 return item;107 }108109 heapifyDown(customStartIndex = 0) {110 let currentIndex = customStartIndex;111 let nextIndex = null;112113 while (this.hasLeftChild(currentIndex)) {114 if (115 this.hasRightChild(currentIndex) &&116 this.isCorrectOrder(117 this.rightChild(currentIndex),118 this.leftChild(currentIndex)119 )120 ) {121 nextIndex = this.getRightChildIndex(currentIndex);122 } else {123 nextIndex = this.getLeftChildIndex(currentIndex);124 }125126 if (127 this.isCorrectOrder(this.arr[currentIndex], this.arr[nextIndex])128 ) {129 break;130 }131132 this.swap(currentIndex, nextIndex);133 currentIndex = nextIndex;134 }135 }136}
Другие посты
Ничего не найдено