Структуры данных. Деревья
Это краткий дополненный конспект части о деревьях в книге Гид по Computer Science, Вильям Спрингер.
Основная информация
Дерево — это просто связный граф, не имеющий циклов. Назначаем одну вершину корнем дерева и определяем остальные вершины по их отношению к корню.
Пример дерева - DOM дерево.
Следующие определения для дерева равны между собой:
- ациклический граф, в котором появится простой (без повторяющихся вершин) цикл, если добавить в него любое ребро;
- связный граф, который перестанет быть связным, если удалить из него любое ребро;
- граф, в котором любые две вершины связаны уникальным простым путем.
У дерева два типа узлов:
- внутренние узлы - у которых есть хотя бы один дочерний элемент
- листья - нет дочерних элементов
Ниже пример дерева с десятью вершинами и одним внутренним узлом.

Кроме двоичных, широкое практическое применение имеют деревья с четырьмя узлами (дерево квадрантов). Они используются в геймдеве для организации сетки. Каждый узел в таком дереве представляет одно направление (север-запад, юго-восток и так далее).
Основные операции:
- Добавление нового узла (add);
- Удаление узла по его значению (remove);
- Поиск узла по значению (find);
- Обход всех элементов (traverse).
При необходимости этот список можно расширить более сложными алгоритмами:
- Вставка/удаление поддерева;
- Вставка/удаление ветви;
- Вставка элемента в определенную позицию;
- Поиск наименьшего общего предка для двух узлов.
Реализация на JavaScript
На основе массива
(Информация взята с этого сайта)
[3, 2, [3, 8], [[8], 3]];
Где
весь массив - корень.
элементы - дети.
ребенок не массив - лист, ребенок массив - внутренний узел со своими детьми
Как коллекция связных узлов
(Пример взят с этого сайта)
1class BinaryTreeNode {2 constructor(value) {3 this.left = null;4 this.right = null;5 this.parent = null;6 this.value = value;7 }89 get height() {10 let leftHeight = this.left ? this.left.height + 1 : 0;11 let rightHeight = this.right ? this.right.height + 1 : 0;12 return Math.max(leftHeight, rightHeight);13 }1415 //При вставке важно обновить все затронутые ссылки: left или right для родительского узла и parent для дочернего. Если у родителя уже был потомок, его свойство parent нужно обнулить.1617 setLeft(node) {18 if (this.left) {19 this.left.parent = null;20 }21 if (node) {22 this.left = node;23 this.left.parent = this;24 }25 }2627 setRight(node) {28 if (this.right) {29 this.right.parent = null;30 }31 if (node) {32 this.right = node;33 this.right.parent = this;34 }35 }36}37let aNode = new BinaryTreeNode('a');3839let bNode = new BinaryTreeNode('b');40aNode.setLeft(bNode);4142let cNode = new BinaryTreeNode('c');43aNode.setRight(cNode);4445let dNode = new BinaryTreeNode('d');46bNode.setRight(dNode);4748let eNode = new BinaryTreeNode('e');49cNode.setLeft(eNode);5051let fNode = new BinaryTreeNode('f');52cNode.setRight(fNode);
Двоичные деревья поиска
Двоичное дерево поиска (Binary Search Tree, BST) - корневое двоичное дерево (каждый узел имеет не более двух дочерних узлов).
Рекурсивно определяется:
- ключ корня больше или равен ключу левого потомка (если он есть).
- ключ правого потомка всегда больше или равен ключу корня.
Такая упорядоченность облегчает поиск элемента - можно отбросить неподходящую половину.

Время операций пропорционально высоте дерева - длине самой длинной цепочки от корня (высота которого равна нулю) до листа.
В общем случае это Θ(lg n).
Θ означает, что время выполнения ограничено как сверху, так и снизу; высота дерева должна быть не менее lg n.
в худшем случае (когда у каждого узла есть только один дочерний элемент, что, по существу, превращает дерево в связный список, несбалансированное двоичное дерево поиска) - O(n).
Ниже пример несбалансированного двоичного дерева.

Двоичное дерево поиска может быть реализовано как коллекция связанных узлов - каждый узел имеет ключ и указатели на левый и правый дочерние элементы и на родительский элемент.
Реализация на JavaScript
Примеры взяты с этого сайта.
Первый добавленный узел становится корнем дерева.
Далее сравниваем значение нового элемента со значением родителя. Если оно больше помещаем элемент в левую ветвь, если меньше - в правую.
Добавление элемента
Строим дерево также, как и в предыдущем примере, только добавим новый метод добавления элементов, который сравнивает значения и отправляет элемент в нужную ветку.
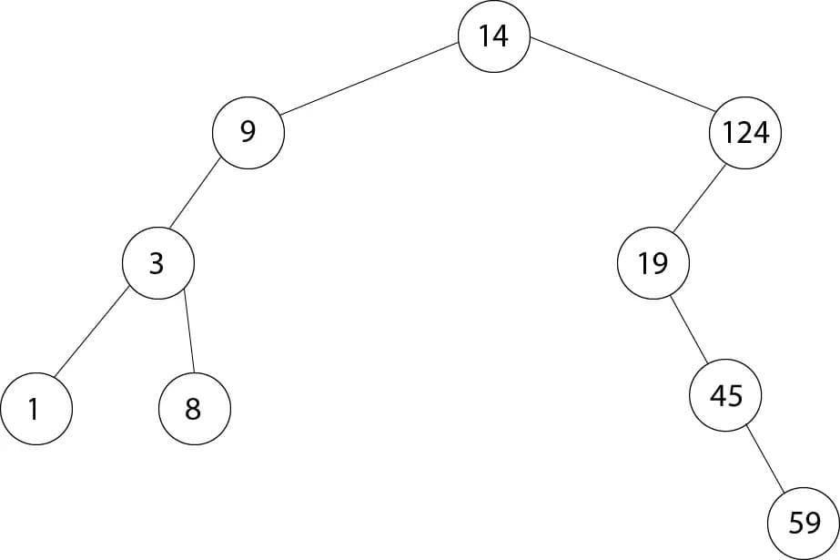
1class BinarySearchTreeNode extends BinaryTreeNode {2 constructor(value, comparator) {3 super(value);4 this.comparator = comparator;5 }67 insert(value) {8 if (this.comparator(value, this.value) < 0) {9 if (this.left) return this.left.insert(value);10 let newNode = new BinarySearchTreeNode(value, this.comparator);11 this.setLeft(newNode);1213 return newNode;14 }1516 if (this.comparator(value, this.value) > 0) {17 if (this.right) return this.right.insert(value);18 let newNode = new BinarySearchTreeNode(value, this.comparator);19 this.setRight(newNode);2021 return newNode;22 }23 return this;24 }25}2627class BinarySearchTree {28 constructor(value, comparator) {29 this.root = new BinarySearchTreeNode(value, comparator);30 this.comparator = comparator;31 }3233 insert(value) {34 if (!this.root.value) this.root.value = value;35 else this.root.insert(value);36 }37}3839const comparator = (a, b) => a - b;40 /*если вернётся 0, значит, числа равны;41если отрицательное число, значит, значение меньше искомого;42если положительное число, значит, значение больше искомого. */4344const tree = new BinarySearchTree(14, comparator);45tree.insert(9);46tree.insert(124);47tree.insert(3);48tree.insert(19);49tree.insert(45);50tree.insert(1);51tree.insert(8);52tree.insert(59);
Все новые значения больше корня уходят в левую ветвь, меньше в правую. Поэтому в примере выше должно получится такое дерево:

Удаление элемента
Чтобы удалить узел d, нужно найти его в дереве и затем выполнить следующее:
- у d нет потомков - присвоить null указателю родительского узла, который сейчас ссылается на d;
- у d есть один потомок - этот потомок занимает место d;
- у d два потомка - найти следующий по порядку узел (минимальный узел в правом поддереве удаляемого узла) и поставить его на место d.
1//Добавляем в class BinarySearchTreeNode вспомогательные методы2class BinarySearchTreeNode extends BinaryTreeNode {3 // ...45 //ищет минимальный элемент в поддереве6 findMin() {7 if (!this.left) {8 return this;9 }1011 return this.left.findMin();12 }1314 // удаляет указанный элемент, если он является дочерним для данного узла.15 removeChild(nodeToRemove) {16 if (this.left && this.left === nodeToRemove) {17 this.left = null;18 return true;19 }2021 if (this.right && this.right === nodeToRemove) {22 this.right = null;23 return true;24 }2526 return false;27 }2829 // заменяет дочерний элемент на новый.30 replaceChild(nodeToReplace, replacementNode) {31 if (!nodeToReplace || !replacementNode) {32 return false;33 }3435 if (this.left && this.left === nodeToReplace) {36 this.left = replacementNode;37 return true;38 }3940 if (this.right && this.right === nodeToReplace) {41 this.right = replacementNode;42 return true;43 }4445 return false;46 }47}4849// В class BinarySearchTree добавляем метод remove50class BinarySearchTree {51 //...5253 remove(value) {54 const nodeToRemove = this.find(value);5556 if (!nodeToRemove) {57 throw new Error("Item not found");58 }5960 const parent = nodeToRemove.parent;6162 // Нет потомков, листовой узел63 if (!nodeToRemove.left && !nodeToRemove.right) {64 if (parent) {65 // Удалить у родителя указатель на удаленного потомка66 parent.removeChild(nodeToRemove);67 } else {68 // Нет родителя, корневой узел69 nodeToRemove.value = undefined;70 }71 }7273 // Есть и левый, и правый потомки74 else if (nodeToRemove.left && nodeToRemove.right) {75 // Ищем минимальное значение в правом поддереве76 // И ставим его на место удаляемого узла77 const nextBiggerNode = nodeToRemove.right.findMin();7879 if (this.comparator(nextBiggerNode, nodeToRemove.right) === 0) {80 // Правый потомок одновременно является минимальным в правом дереве81 // то есть у него нет левого поддерева82 // можно просто заменить удаляемый узел на его правого потомка83 nodeToRemove.value = nodeToRemove.right.value;84 nodeToRemove.setRight(nodeToRemove.right.right);85 } else {86 // Удалить найденный узел (рекурсия)87 this.remove(nextBiggerNode.value);88 // Обновить значение удаляемого узла89 nodeToRemove.value = nextBiggerNode.value;90 }91 }9293 // Есть только один потомок (левый или правый)94 else {95 // Заменить удаляемый узел на его потомка96 const childNode = nodeToRemove.left || nodeToRemove.right;9798 if (parent) {99 parent.replaceChild(nodeToRemove, childNode);100 } else {101 this.root = childNode;102 }103 }104105 // Удалить ссылку на родителя106 nodeToRemove.parent = null;107108 return true;109 }110}111
Сбалансированные деревья двоичного поиска
Двоичное дерево поиска с автоматической балансировкой - это дерево, которое автоматически сохраняет небольшую высоту (по сравнению с количеством требуемых уровней) независимо от добавления или удаления узлов.
Его высота может быть больше минимальной, но при этом составит Θ(lg n).
- Красно-черное дерево — Все ключи хранятся во внутренних узлах, а листья — это нулевые узлы. Каждый узел должен быть красным или черным: корень и все листья — черными, потомки красного узла — черными. Каждый путь от узла к листу должен содержать одинаковое количество черных узлов. Путь от корня до самого дальнего листа не более чем в два раза превышает длину пути от корня до ближайшего листа, поскольку кратчайший возможный путь — это все черные узлы, а в самом длинном из возможных путей красные и черные узлы чередуются, поэтому ни один путь не может быть более чем в два раза длиннее другого.
- Косое дерево
- декартово дерево (treaps).
Другие посты
Ничего не найдено